Dimana surat lamaran cpns kemenag ini kami dapatkan dari sumber situs kemenaggoid langsung untuk itu kami bagikan buat anda semua contoh surat lamaran kerja cpns kemenag sehingga anda saat ingin. Download surat lamaran cpns kemenag 2018.
Format Surat Lamaran Cpns Kemenag 2018 لم يسبق له مثيل الصور
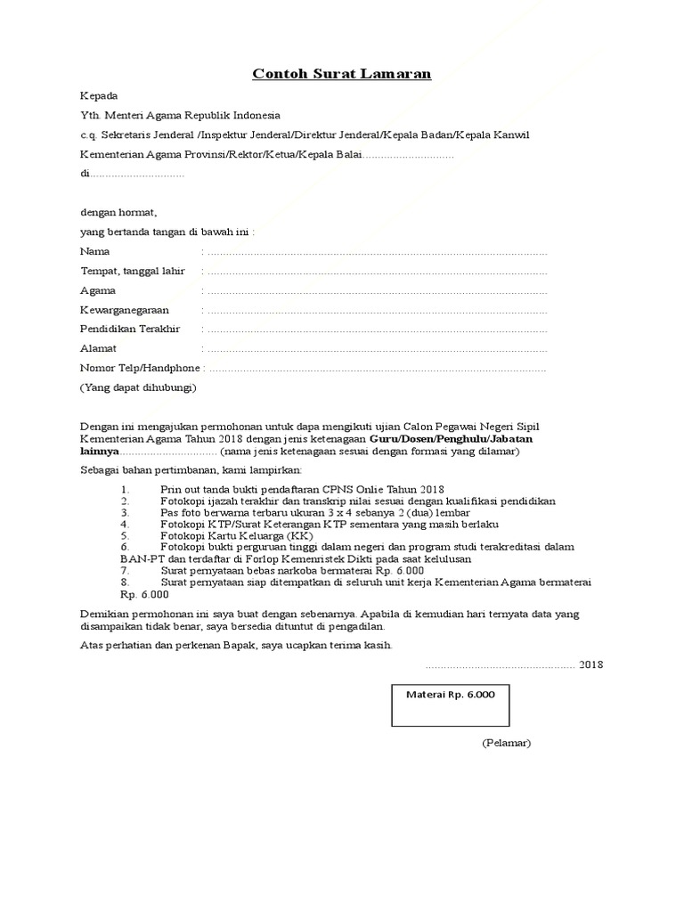
Contoh surat lamaran cpns kemenag 2018. Sementara dari 5815 formasi di cpns 2019 kemenag alokasi terbanyak untuk kebutuhan jabatan dosen dengan 2131 formasi terdiri dari asisten ahli sebanyak 2016 formasi dan. Selain itu berikut ini daftar link format surat lamaran cpns dan berkas lain yang sudah disediakan tiga instansi tersebut. Contoh surat lamaran cpns 2018 kementerian agama kemenag adalah merupakan artikel yang akan saya bagikan kali ini untuk andaterutama bagi anda yang ingin mendaftar cpns 2018 di lingkungan kementerian agama untuk berbagai formasi yang disediakan oleh kemenag tahun 2018 ini. September 21 2018 14 komentar salah satu syarat untuk bisa mendaftarkan diri pada cpns kemenag adalah para pelamar harus menyertakan surat lamaran. Surat lamaran dan surat pernyataan ini merupakan salah satu syarat yang harus di sertakan oleh peserta. Cpns kemenkumham 2019 kemenkumham membuka lowongan cpns 2019 sebanyak 4598 formasi.
Tentunya dengan ketikan tangan oleh pelamar masing masing. 6000 dan ditandatangani dengan pena bertinta hitam. Format contoh surat lamaran cpns 2019 di kemenkumham kemenag dan kemenlu bisa dilihat di bagian bawah artikel ini. Download contoh surat lamaran cpns kemenag terbaru 2018 melampirkan surat lamaran pekerjaan bagi cpns kemenag tahun 2018 merupakan salah satu syarat yang harus dipenuhisyarat sepeti surat lamaran memang terlihat tidak begitu pokok namun hal tersebut memang harus dipenuhi. Surat lamaran diketik pelamar menggunakan komputer bermaterai rp. Surat lamaran cpns kemenag adalah salah satu syarat wajib untuk melamar cpns kemenag 2018.
Bagi pelamar cpns kemenag 2019 yang ingin mengunduh contoh surat lamaran di atas dalam format pdf bisa men download nya melalui tautan ini contoh surat lamaran cpns 2019 untuk instansi kemenag ada pada bagian lampiran. Bagi anda yang berminat untuk mengikuti sleksi pendaftaran cpns kemenag 2018 berikut ini beberapa contoh surat lamaran untuk pelamar lulusan sma sederajat d3 dan s1 yang admin bagikan. Download contoh surat lamaran pernyataan seleksi cpns 2018 seluruh pelamar kemenag format surat lamaran seleksi cpns kemenag 2018. Contoh surat lamaran cpns kemenag 2018. Download contoh format surat lamaran pernyataan seleksi cpns kemenag 2018 kementerian agama. Kali ini kementerian agama merilis untuk surat lamaran cpns harus diketik.
Maka dari itu di sii saya akan membagikan fike contoh surat lamaran cpns kemenag terbaru formar word. Format surat lamaran cpns kemenag 2018. Format surat lamaran pendaftaran cpns kementerian agama kemenag 2018. Surat lamaran harus ditulis menggunakan bahasa baku. Contoh surat lamaran kerja cpns kemenag kementrian agama ri kalau anda ingin melamar menjadi cpns maka anda juga harus bisa menuliskan surat lamaran kerja cpns yang kami sampaikan disini. Surat lamaran merupakan salah satu dokumen persyaratan wajib yang harus dibuat oleh pelamar cpns kementerian agama kemenag 2018.















