Pembahasan matematika wajib sma kelas 10 kurikulum 2013 revisi lengkap dan gratis. Pembahasan serupa dengan sifat grafiknya pada kuadran i kita mendapatkan.
Fungsi Rasional Pengertian Grafik Contoh Soal Pembahasan
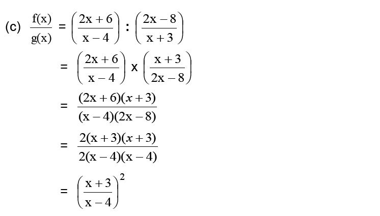
Contoh soal fungsi rasional. Yang artinya x yang besar akan menghasilkan nilai fungsi yang kecil begitu juga sebaliknya. Bilangan rasional dan irasional pembahasan singkat tentang pengertian bilangan rasional dilengkapi dengan contoh bilangan rasional pengertian bilangan irasional contoh bilangan irasional. Soal no1 utbk 2019 diketahui grafik fungsi f dan g dengan beberapa nilai fungsi f dan g sebagai berikut. Fungsi rasional adalah fungsi yang berbentuk pecahan dimana pembilang dan penyebutnya masing masing merupakan fungsi polinomial. Post comments atom popular posts. Terdiri dari 40 soal disertai kunci jawaban.
Di mana batasan dari bilangan rasional adalah mulai dari selanga. Menentukan beberapa titik bantu. Soal matematika smp kelas 7 semester 2. Fungsi y 1x fungsi ini disebut juga sebagai fungsi kebalikan sebab setiap kita mengambil sembarang x kecuali nol maka akan menghasilkan kebalikannya sebagai nilai dari fungsi tersebut. Contoh soal fungsi komposisi jawaban dan pembahasannya kelas 10. Bilangan rasional bilangan rasional adalah bilangan yang dapat dinyatakan sebagai ab di mana a b bilangan bulat dan b tidak sama dengan 0.
Menentukan daerah grafik fungsi adalah dengan mancari nilai positif dan negative dari. Y fx 2x 4 x 1 titik potong dengan sumbu x dicapai untuk y 0. Deskripsikan apa yang terjadi ketika x mendekati nol. Fungsi dengan batas batas harga nol pembilang atau penyebut. Contoh soal fungsi rasional dan pembahasannya informasi mengenai lowongan kerja yang anda cari adalah contoh soal fungsi rasional dan pembahasannyaberikut ini telah kami sajikan beberapa artikel artikel yang berkaitan dengan contoh soal fungsi rasional dan pembahasannyaapabila informasi yang kami sampaikan di karirindokerja ini bermanfaat bagi anda silahkan anda bisa share artikel tersebut. Ketika x mendekati negatif tak hingga nilai y akan mendekati nol.
Tabel dan grafik dari fungsi tersebut bisa dilihat pada gambar di bawah ini. Karena pembentuk nol akar persamaan penyebut dx adalah nol maka domain dari fungsi tersebut adalah x anggota bilangan real dimana x 0. Simak di sini untuk latihan pelajaran sma kelas 10 kurikulum 2013 revisi dan cara mengerjakannya. Berikut adalah contoh soal uas matematika untuk smp kelas 7 semester genap alias 2. Fungsi rasional yang dimaksud di sini adalah fungsi fungsi yang berbentuk dengan px dan qx masing masing fungsi polinomial berderajat m dan n dimana mnsecara umum fungsi polinomial px berderajat m dapat dituliskan dalam bentuk sebagai berikut. Jika hx fogx maka nilai h2 adalah.
Apabila disimbolkan x y 0. Untuk y 1x dalam kuadran iii. Contoh fungsi rasional yang paling sederhana adalah fx 1x dan fx 1x² dimana kedua fungsi tersebut mempunyai pembilang sebuah kontstanta dan penyebut berupa polinomial. Contoh fungsi rasional pecahan yang paling dasar adalah. Mendeskripsikan sifat dari ujung grafik fungsi rasional. Deskripsikan sifat dari ujung grafik fungsi tersebut.
Gambarlah grafik fungsi y fx 2x 4 x 1.















