Soalnya seringnya remidi pas materi ini. Contoh soal integral tak tentu pada postingan ini kita membahas contoh soal integral tak tentu dan penyelesaiannya.
Matematika 2 Slide Week 5 Integral Lipat Tiga
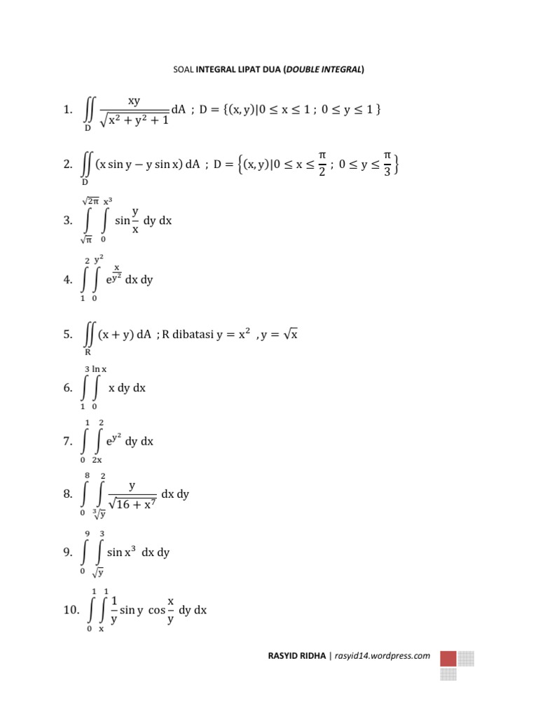
Contoh soal integral lipat dua dan penyelesaiannya. Luas dari suatu bidang dapat dipandang dengan sustu integral lipat dua jika fxy1 sehingga integral lipat dua menjadi. Bab 4 integral lipat dua1 2 1. 63 41 pendahuluan pada bagian ini akan dibahas perluasan integral tertentu ke bentuk integral lipat dua dari fungsi dua peubah. Penjelasan tentang contoh soal integral tentu tak tentu substitusi parsial trigonometri beserta pengertian dan jenis jenis integral dan pembahasannya. Akan dibahas bentuk bentuk integral lipat dalam koordinat kartesius koordinat kutub maupun dalam koordinat yang lebih umum. Contoh soal dan pembahasan integral tak tentu integral tentu kalkulus 2.
Setelah sebelumnya kita membahas lengkap materi integral kali ini kita akan membahas contoh soal integral dengan menggunakan sifat sifat integral tentu dan tak tentusimak soal dan pembahasan berikut untuk meningkatkan pemahamanmu mengenai cara penyelesaian soal soal integral. Sekian ulasan tentang integral lipat dua semoga sekarang anda telah. Untuk memberikan pemahaman kepada pembaca tentang materi tersebut berikut disajikan beberapa soal terkait terkhusus untuk integral lipat dua yaitu integral. Contoh soal dan pembahasan integral lipat 2 integral lipat dua bentuk umum ppt download. Integral merupakan cabang ilmu matematika yang memiliki tingkat kesulitan cukup tinggi. Penjelasan tentang contoh soal integral tentu tak tentu substitusi parsial trigonometri beserta pengertian dan jenis jenis integral dan pembahasannya integral trigonometri menentukan persamaan kurva gradien dan persamaan garis singgung kurva di suatu titik.
Pelajari rangkuman materi integral dilengkapi dengan contoh soal integral beserta pembahasan jawaban lengkap dari soal un dan sbmptn untuk kelas 11. Dari integral di atas terlihat bahwa bentuk tersebut sulit untuk ditentukan penyelesaiannya. Contoh soal dan pembahasan tentang integral widi wednesday 22 february 2017 bicara soal integral pasti dipikiran kalian materi ini susah banget. Hitung luas daerah yang dibatasi oleh x y 2 dan 2y x y. Dx karena luas daerah l terbagi menjadi dua bagian yaitu di atas dan di bawah sumbu x sehingga akan memberikan hasil yang salah. Integral berulang kadang juga dikenal sebagai integral ganda atau integral lipat adalah materi kalkulus lanjut yang dipelajari secara mendalam untuk menganalisis masalah luas dan volume baik pada bidang dua dimensi maupun tiga dimensi.














