Limit bentuk akar contoh 3 play download. Soal integral substitusi bentuk akar kelas xii ipa dari at mettapedia.
Kuliah I Integral Tak Tentu
Contoh soal integral tak tentu bentuk akar. Click to share on facebook opens in new window. Contoh soal integral substitusi akar. Dan kita dapat memisalkan bentuk diatas berturut turut menjadi xa sin t. Soal ditanyakan pada tanggal 03 agustus 2011. Setelah menyimak contoh contoh soal di atas kalian pasti langsung mengerti bagaimana cara menyelesaikan soal integral substitusi dan integral parsial. Contoh soal integral tak tentu bentuk akar.
Video ini membahas cara mudah menyelesaikan soal integral tak tentu bentuk akar dengan metode substitusi. Posted august 3 2011 january 31 2015 isra nurhadi. Ini soal umptn 1991 integral trigonometri berikut ini soalnya. Tentukanlah nilai dari penyelesaian. Misalkan x2 sin t dx2 cos t dt dan x 2 4sin 2 t. Bentuk 2 untuk menyelesaikan integral yang memuat bentuk.
Integral subtitusi pada integral dilakukan apabila satu bentuk integral tidak dapat langsung diselesaikan dengan menggunakan rumus rumus dasar integral. Soal integral substitusi bentuk akar kelas xii ipa. Integral merupakan cabang ilmu matematika yang memiliki tingkat kesulitan cukup tinggi. Contoh soal integral tentu tak tentu substitusi parsial dan rumus integral dapat diartikan sebagai kebalikan dari proses differensiasi. Soal dan pembahasan integral metode substitusi posted by edutafsi on 22 april 2015 151 pm metode substitusi merupakan metode penyelesaian integral dengan mengubah bentuk fungsi menjadi lebih sederhana dalam bentuk variabel tertentu yang saling berhubungan dan ditandai dengan adanya pemisalan. Setelah sebelumnya kita membahas lengkap materi integral kali ini kita akan membahas contoh soal integral dengan menggunakan sifat sifat integral tentu dan tak tentusimak soal dan pembahasan berikut untuk meningkatkan pemahamanmu mengenai cara penyelesaian soal soal integral.
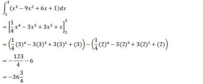
Cara pertama dan cara kedua disajikan berikut ini tergantung yang mana menurut kawan. Soal revisi adalah blog yang berbagi informasi contoh soal integral tentu akar yang mana file file ini erat hubungannya dengan contoh soal integral tak tentu akarcontoh soal integral tak tentu bentuk akarcontoh soal integral tentu akarcontoh soal integral tentu bentuk akar berikut ini adalah kumpulan dari berbagi sumber tentang contoh soal integral tentu akar yang bisa bapakibu gunakan. Posted august 3 2011 january 31 2015 isra nurhadi. Contoh soal dan pembahasan integral tentu posted by edutafsi on 14 april 2015 10 36 am integral tentu merupakan bentuk integral yang memiliki batas atas dan batas bawah sehingga nilainya lebih pasti.

















