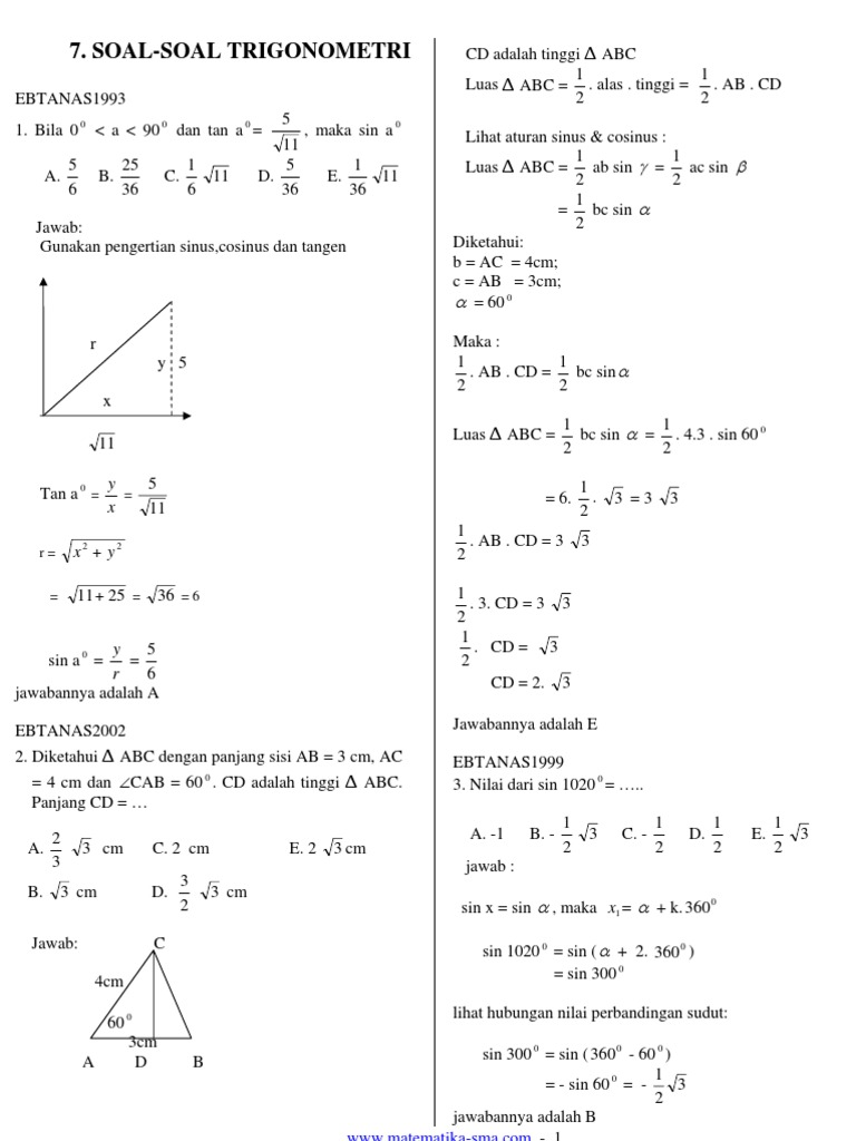
Contoh soal grafik trigonometri kelas 10 dan pembahasannya informasi guru berikut ini adalah contoh soal grafik trigonometri kelas 10 dan pembahasannya yang bisa anda download secara gratis di website kami. Luas segitiga ½ 35.
Menghitung Tinggi Pohon Menggunakan Rumus Identitas Trigonometri
Contoh soal trigonometri kelas 10 dan pembahasannya. 262815694 soal dan pembahasan trigonometri pdf diunggah oleh khoirul setiyawan 45279202 grafik fungsi trigonometri pdf diunggah oleh aisyahwahyuwardani 209552997 soal dan pembahasan trigonometri kelas xi ipa docx. Soal dan pembahasan trigonometri sma kelas x 1. 1 nyatakan sudut sudut berikut dalam satuan derajad. Bentuk pertanyaan contoh soal trigonometri kelas 10 dan pembahasannya dong lihat pembahasan yang lebih lengkap di brainly httpsbrainlycoidtugas230. 1 π radian 180 jadi. Guru sd smp sma contoh soal trigonometri kelas 10 dan pembahasannya.
2 nyatakan sudut sudut berikut. Contoh soal dan pembahasan tentang trigonometri contoh soal dan pembahasan tentang rumus perbandingan sinus cosinus dan tangen contoh soal dan pembahasan tentang nilai nilai sudut istimewa contoh soal dan pembahasan tentang dalil dalil dalam segitiga contoh soal dan pembahasan tentang kali bagi jumlah dan kurang dalam trigonometri contoh soal dan pembahasan tentang penjumlahan sudut. Contoh file soal uts lengkap kelas 1 6 sdmi semua mata pelajaran 20162017 berikut ini adalah kumpulan dari berbagi sumber tentang contoh soal trigonometri kelas 10 dan pembahasannya yang bisa gunakan untuk bank soaldownloadsd dan diunduh secara gratis dengan menekan tombol download biru dibawah ini. Identitas trigonometri lengkap sudut rangkap kelas 10 materi matematika. Sin 30 o ½35½ 154 375 cm. Pengertian macam macam rumus dan contoh soal beserta pembahasannya.
Titik p dan q dinyatakan dengan kordinat polar. A 1 2 π rad b 3 4 π rad c 5 6 π rad soal no. Diketahui tg a 125 sin b 45 a sudut lancip dan b sudut tumpul. Contoh soal dan jawaban trigonometri 1. A 1 2 π rad b 3 4 π rad c 5 6 π rad. Menentukan nilai perbandingan.
Contoh soal pembahasan trigonometri kelas x10 soal no1 utbk 2019 jika diketahui x sin α sin β dan y cos α cos β maka nilai terbesar x 2 y 2 tercapai saat. Tentukan jarak antar titik pdan q.
















